DBNet: Real-time Scene Text Detection with Differentiable Binarization
[TOC]
名称:DBNet: Real-time Scene Text Detection with Differentiable Binarization
论文:https://arxiv.org/abs/1911.08947
会议:AAAI2020
V2:Real-Time Scene Text Detection with Differentiable Binarization and Adaptive Scale Fusion
V2:https://arxiv.org/abs/2202.10304
顶刊:TPAMI 2022
DBNet(Differentiable Binarization Network)是一种用于文本检测的深度学习模型,特别适用于自然场景中的文本检测任务。它在处理弯曲、倾斜或复杂背景中的文本时表现出色。DBNet 的核心创新点是引入了 可微分二值化(Differentiable Binarization, DB) 模块,使得模型能够在训练过程中直接优化分割掩码的二值化效果。
以下是 DBNet 的详细解析,包括其架构设计、工作原理、优势和实现细节。
1. DBNet 的背景
问题
- 自然场景中的文本通常具有复杂的形状(如弯曲、倾斜等),并且背景可能包含大量噪声。
- 传统的基于区域提议的方法(如 Faster R-CNN)难以处理复杂的文本形状。
- 基于分割的方法虽然可以生成像素级的预测结果,但后处理步骤(如二值化和轮廓提取)通常是不可微的,无法直接优化。
解决方案
- DBNet 提出了一个端到端可微分的框架,通过引入 可微分二值化模块 ,将二值化过程嵌入到网络中,从而可以直接优化分割掩码的二值化效果。
2. DBNet 的架构
DBNet 的整体架构包括以下几个关键部分:

2.1 主干网络(Backbone)
- 主干网络用于提取输入图像的特征图。
- 常用的主干网络包括 ResNet、MobileNet 等。
- 输出是一个多尺度的特征金字塔。
2.2 特征融合模块(Feature Pyramid Enhancement, FPE)
- 特征融合模块用于增强多尺度特征的表达能力。
- 通过自顶向下和自底向上的路径融合不同尺度的特征,生成更丰富的上下文信息。
2.3 概率图生成模块
- 输出两个分支:
- 概率图(Probability Map) :表示每个像素属于文本的概率。
- 阈值图(Threshold Map) :用于动态调整二值化的阈值。
2.4 可微分二值化模块(DB Module)
-
核心创新点:通过可微分的方式生成二值化的分割掩码。
-
公式如下:
其中:
- P(x,y) 是概率图的值。
- T(x,y) 是阈值图的值。
- 为了实现可微分性,使用近似函数(如 Sigmoid 或 Tanh)替代硬性决策。
2.5 损失函数
- 使用联合损失函数,包括以下几部分:
- 概率图损失 :监督概率图的学习。
- 阈值图损失 :监督阈值图的学习。
- 二值化损失 :监督最终二值化结果的学习。
3. DBNet 的工作原理
3.1 概率图与阈值图
- 概率图表示每个像素属于文本的概率,范围为
[0, 1]。 - 阈值图用于动态调整二值化的阈值,避免固定阈值带来的局限性。
3.2 可微分二值化
-
可微分二值化模块的核心思想是通过动态阈值生成二值化的分割掩码。
-
通过近似函数(如 Sigmoid),将硬性决策转换为可微分的操作:
其中:
- k 是一个超参数,控制近似的陡峭程度。
- 当 时,近似函数趋近于硬性决策。
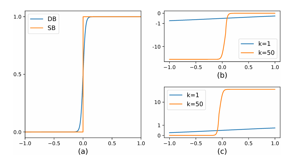
下图中(a)是硬分类和DB分类的函数图像,(b)和(c)是DB和原始的sigmoid在x=0处附近的导数区别。

3.3 后处理
- 在推理阶段,直接对二值化后的分割掩码进行轮廓提取,生成最终的文本框。
4. DBNet 的优势
- 端到端可微分
- 可微分二值化模块使得整个网络可以在训练过程中直接优化二值化效果,避免了传统方法中不可微的后处理步骤。
- 动态阈值
- 阈值图允许模型根据局部上下文动态调整二值化阈值,从而更好地适应复杂的文本形状。
- 高效性
- DBNet 的推理速度较快,适合实时应用场景。
- 鲁棒性
- 能够处理弯曲、倾斜、遮挡等复杂场景中的文本。
5. 代码实现
以下是一个基于 PyTorch 的简化实现示例:
1 | import torch |
6. 运行结果
假设输入图像的尺寸为 [1, 3, 512, 512],则输出结果如下:
1 | 概率图形状: torch.Size([1, 1, 512, 512]) |
7. 注意事项
- 主干网络的选择
- 主干网络的选择会影响特征提取的质量,建议使用预训练的深度网络(如 ResNet、MobileNet)。
- 阈值图的作用
- 阈值图的设计需要结合具体任务,确保能够动态适应不同的文本形状。
- 损失函数的设计
- 损失函数需要平衡概率图、阈值图和二值化图的学习,避免某一部分过拟合。
- 推理阶段的后处理
- 在推理阶段,需要对二值化后的分割掩码进行轮廓提取,生成最终的文本框。
8. 总结
DBNet 是一种高效的文本检测模型,通过引入可微分二值化模块,解决了传统方法中不可微的后处理问题。它的设计简单且高效,能够处理复杂的自然场景文本检测任务。通过动态阈值和端到端优化,DBNet 在精度和速度之间取得了良好的平衡,成为自然场景文本检测领域的经典方法之一。
